EN
Ege Rehber
SSO
Engelsiz Ege
HAKKIMIZDA
Dekanın Mesajı
Yönetim
Teşkilat Şeması
Misyon ve Vizyon
Tarihçe
Yönetim Kurulu
Fakülte Kurulu
Tanıtım
Fakültemiz Hakkında
Tanıtım Broşürü
Tanıtım Videosu
BÖLÜMLER
Ağız Diş ve Çene Cerrahisi Anabilim Dalı
Ağız Diş ve Çene Radyolojisi Anabilim Dalı
Endodonti Anabilim Dalı
Ortodonti Anabilim Dalı
Pedodonti Anabilim Dalı
Periodontoloji Anabilim Dalı
Protetik Diş Tedavisi Anabilim Dalı
Restoratif Diş Tedavisi Anabilim Dalı
KADROMUZ
İdari Kadro
Akademik Kadro
ÇASAGÜB
ÖĞRENCİ
Akademik Takvim
Ders Programı
Sınav Takvimi
Laboratuvar ve Klinik Kuralları
Danışmanlık El Kitabı
Malzeme Listeleri
Mezuniyet Tezi Yazım Kuralları
Mezuniyet İşlemleri
Mezun Anketi
Mezun Fotoları
Formlar
Burs Başvuruları
Komisyonlar
Mevzuat
İstatistik Bilgileri
Öğretim Üyesi Başına Düşen Lisans Öğrenci Sayısı
Mezun Sayıları
Faydalı Linkler
Sıkça Sorulan Sorular
İletişim
ETKİNLİKLERİMİZ
Sosyal Sorumluluk/Topluma Hizmet
Öğrenci Sosyal Sorumluluk Projeleri
Sosyal,Kültürel,Sportif
Bilimsel
HASTALARIMIZ İÇİN
Hastanemiz Hakkında
E-Randevu
Ulaşım
Engelli Hastalarımız İçin
Hasta Bilgilendirme
Sık Sorulan Sorular
KALİTE YÖNETİM
Kalite Yönetim Birimi
Komiteler, Ekipler ve Sorumlular
Çalışan Memnuniyet Anketi
İstenmeyen Olay Bildirim Formu
Dokümanlar
Talimatlar
Prosedürler
Formlar
Plan, Yardımcı Doküman, Liste
Akreditasyon-Eğitim
Hasta/Hasta Yakını Bilgilendirme ve Onam Formları
Yönetmelikler
Yönergeler
Linkler
Organizasyon Şeması
Görev Tanımları
Hassas Görev Belirleme Rehberi ve Formları
Hasta Memnuniyet Anketi
GÖRÜŞ VE ÖNERİLER
UZMANLIK EĞİTİMİ
Mevzuat
Uzmanlık Dokümanları
Fiziki ve Teknolojik Olanaklar
Uzmanlık Eğitimi Programları
Uzmanlık Eğitimi Komisyonu
İletişim
AKREDİTASYON VE EĞİTİM BİRİMİ
Akreditasyon Birimi
Mezuniyet Öncesi Eğitim Yönetimi
Eğitim Yönetimi Komisyonları
TYYÇ - Program Çıktıları Matrisi
DUÇEP - Program Çıktıları Matrisi
Öz Değerlendirme Raporu
Program Çıktıları
Program Çıktıları Broşürü
Eğitim Programı ve Program Çıktıları Matrisi
ULUSLARARASILAŞMA KOORDİNATÖRLÜĞÜ
Uluslararasılaşma Birimi
Erasmus
Orhun
İkili İşbirliği
SIFIR ATIK YOLCULUĞUMUZ
2025 Çevre Konulu Projeler
2024 Çevre Konulu Projeler
Hasta Sayısı / Atık Miktarı Grafiği
INTERNATIONAL PATIENTS
EGE ÜNİVERSİTESİ
Diş Hekimliği Fakültesi
EGE ÜNİVERSİTESİ
Diş Hekimliği Fakültesi
EGE ÜNİVERSİTESİ
Diş Hekimliği Fakültesi
Online Kitap Satış
Ege Ders
Engelsiz Ege
Ege SSO
Çerez Örnek
HAKKIMIZDA
Dekanın Mesajı
Yönetim
Teşkilat Şeması
Misyon ve Vizyon
Tarihçe
Yönetim Kurulu
Fakülte Kurulu
Tanıtım
Fakültemiz Hakkında
Tanıtım Broşürü
Tanıtım Videosu
BÖLÜMLER
Ağız Diş ve Çene Cerrahisi Anabilim Dalı
Ağız Diş ve Çene Radyolojisi Anabilim Dalı
Endodonti Anabilim Dalı
Ortodonti Anabilim Dalı
Pedodonti Anabilim Dalı
Periodontoloji Anabilim Dalı
Protetik Diş Tedavisi Anabilim Dalı
Restoratif Diş Tedavisi Anabilim Dalı
KADROMUZ
İdari Kadro
Akademik Kadro
ÇASAGÜB
ÖĞRENCİ
Akademik Takvim
Ders Programı
Sınav Takvimi
Laboratuvar ve Klinik Kuralları
Danışmanlık El Kitabı
Malzeme Listeleri
Mezuniyet Tezi Yazım Kuralları
Mezuniyet İşlemleri
Mezun Anketi
Mezun Fotoları
Formlar
Burs Başvuruları
Komisyonlar
Mevzuat
İstatistik Bilgileri
Öğretim Üyesi Başına Düşen Lisans Öğrenci Sayısı
Mezun Sayıları
Faydalı Linkler
Sıkça Sorulan Sorular
İletişim
ETKİNLİKLERİMİZ
Sosyal Sorumluluk/Topluma Hizmet
Öğrenci Sosyal Sorumluluk Projeleri
Sosyal,Kültürel,Sportif
Bilimsel
HASTALARIMIZ İÇİN
Hastanemiz Hakkında
E-Randevu
Ulaşım
Engelli Hastalarımız İçin
Hasta Bilgilendirme
Sık Sorulan Sorular
KALİTE YÖNETİM
Kalite Yönetim Birimi
Komiteler, Ekipler ve Sorumlular
Çalışan Memnuniyet Anketi
İstenmeyen Olay Bildirim Formu
Dokümanlar
Talimatlar
Prosedürler
Formlar
Plan, Yardımcı Doküman, Liste
Akreditasyon-Eğitim
Hasta/Hasta Yakını Bilgilendirme ve Onam Formları
Yönetmelikler
Yönergeler
Linkler
Organizasyon Şeması
Görev Tanımları
Hassas Görev Belirleme Rehberi ve Formları
Hasta Memnuniyet Anketi
GÖRÜŞ VE ÖNERİLER
UZMANLIK EĞİTİMİ
Mevzuat
Uzmanlık Dokümanları
Fiziki ve Teknolojik Olanaklar
Uzmanlık Eğitimi Programları
Uzmanlık Eğitimi Komisyonu
İletişim
AKREDİTASYON VE EĞİTİM BİRİMİ
Akreditasyon Birimi
Mezuniyet Öncesi Eğitim Yönetimi
Eğitim Yönetimi Komisyonları
TYYÇ - Program Çıktıları Matrisi
DUÇEP - Program Çıktıları Matrisi
Öz Değerlendirme Raporu
Program Çıktıları
Program Çıktıları Broşürü
Eğitim Programı ve Program Çıktıları Matrisi
ULUSLARARASILAŞMA KOORDİNATÖRLÜĞÜ
Uluslararasılaşma Birimi
Erasmus
Orhun
İkili İşbirliği
SIFIR ATIK YOLCULUĞUMUZ
2025 Çevre Konulu Projeler
2024 Çevre Konulu Projeler
Hasta Sayısı / Atık Miktarı Grafiği
INTERNATIONAL PATIENTS
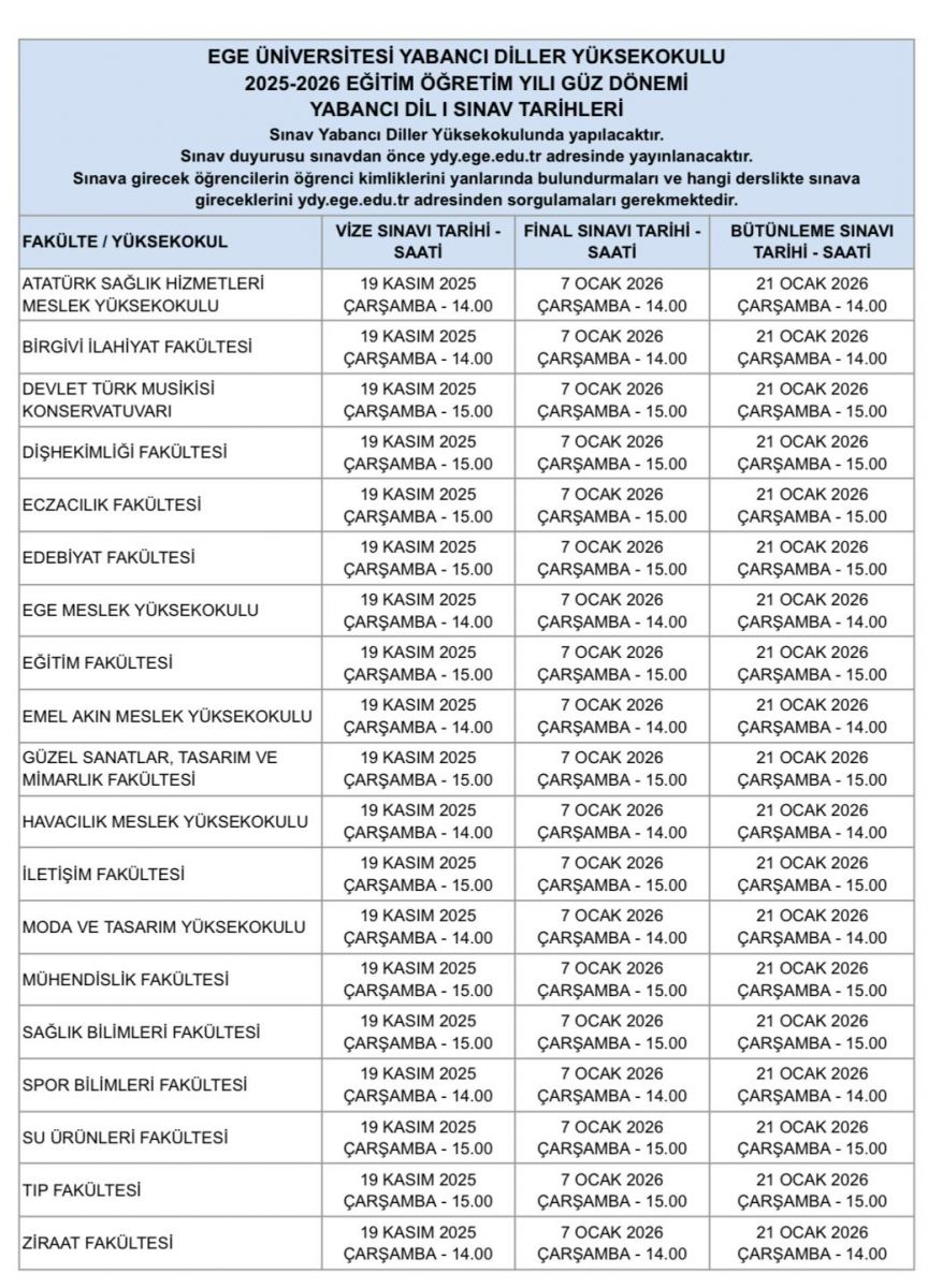
YABANCI DİL SINAV TARİHLERİ
© Bilgi İşlem Daire Başkanlığı-2021-EGE ÜNiVERSiTESi Her hakkı saklıdır.